Binance上币路径:Alpha、IDO、Futures、Spot以及后续CEX表现全拆解
本研究分析了 binance 四大上币渠道——alpha、ido、futures 和 spot——的代币生命周期表现,并跟踪其在 bitget、bybit、coinbase、upbit 上的后续上线情况,重点考察了回报表现、上币节奏、赛道偏好及 fdv 区间。
1. 表现回顾
- 大多数渠道的 14 天 FDV 中位数为负,反映出多数项目上线即为估值高点;
- Binance Alpha 表现最具爆发力(均值 220%),但波动性大;
- Binance IDO 有良好平衡的短期涨幅和较高转化率(至 Futures 和 Spot);
- Binance Spot 短期表现最弱,或因成为早期投资人退出点;
- Bitget 和 Coinbase 在二级市场上表现亮眼,Bybit 和 Upbit 较为一般。
2. 按 FDV 区间选择平台
- Binance Spot 偏好大市值项目(>$500M);
- Alpha 主要支持
- IDO 聚焦于 $70M–$200M 的中型项目;
- Bitget / Bybit 区间灵活,但更偏向有增长势能或大市值项目;
- Coinbase / Upbit 偏好合规性强、估值高的项目。
3. 上币时间预期
- Alpha → Spot: 平均约 60 天;
- IDO → Spot: 平均约 17 天;
- Futures → Spot: 平均仅 14 天;
- Futures 可能是最快捷的通道。
4. 赛道偏好
- Alpha: 偏好 Meme、AI;
- IDO: 偏好 Infra、AI;
- Spot: 覆盖 Infra、Meme、AI;
- Futures: 更广泛,主打 Infra、AI、Meme;
- 项目方需根据平台偏好调整叙事方向。
5. 上币路径进阶
- Alpha → Futures: 转化率 37.8%
- Alpha → Spot: 转化率 12.2%
- IDO → Futures: 转化率 66.7%
- IDO → Spot: 转化率 23.8%
- 实现 约 40% 的 FDV 上涨 是进入下阶段平台的共性特征。
6. 替代平台表现
- Bitget 是最具承接力的其他CEX,尤其对 Alpha/IDO 项目友好;
- Bybit 对 IDO 项目也有较高承接意愿;
- Coinbase / Upbit 上线项目极少,审核严格,周期较长。
本研究聚焦于 Binance 上线渠道(Alpha、社区普遍称作 IDO 的 Exclusive TGE、Futures 和 Spot)中代币的生命周期表现,并跟踪这些项目在 Bitget、Bybit、Upbit 和 Coinbase 等中心化交易所(CEX)上的后续上线路径。分析内容涵盖代币回报表现、上线时机、项目赛道偏好及估值分布(FDV dynamics),旨在为项目方提供战略性的上币路径建议,也为投资者建立基于数据的价格发现与交易策略评估框架。
术语解释:Binance 的 Spot / Futures / IDO / Alpha 上市分别指什么?
Binance Spot(现货) 是币安最基础的交易平台,用户可按当前市价买入或卖出代币,一旦成交即完成资产交割,可自由持有、转账或出售。
Binance Futures(合约) 提供加密货币衍生品交易服务,用户可做多或做空,并使用杠杆放大收益或损失。
Binance IDO 是面向散户用户的公募渠道,用户通过质押 BNB 或完成 Binance 团队设定的 Alpha Quest 任务,参与新项目在 BNB 链上的代币发行,通常发生在代币正式上线其他平台之前。
Binance Alpha 是 Binance 推出的代币发现平台,集成了 BNB Chain 上的 Pancakeswap 及其他链上 DEX,支持早期阶段具有增长潜力的项目,强调实验性与代币多样性。
研究范围
交易所选择: 本研究跟踪的项目均最初在 Binance 系列渠道上线,其后续在 Bitget、Bybit、Coinbase、Upbit 上的上线表现也纳入考察,这些平台是在 Binance 之后最常见的CEX。
时间限制: 仅纳入 2025 年 2 月之后的上线事件。该时间点用于过滤过时的市场逻辑,更贴合当前的上线动态。
无论是对项目方还是投资人来说,理解代币的上线路径都极其重要:
- 对项目方而言,不同平台的表现将直接影响资源投放和上线节奏安排;
- 对投资人来说,代币在不同平台的表现,是制定仓位管理、判断是否追高的重要依据。
1. 价格发现
1.1 回报率
指标定义: 我们在本节衡量代币上线后 14 天内 FDV 的涨跌幅,以评估不同平台的短期价格发现能力。我们以上线首日收盘价对应的 FDV 为基准,比较第14天内的最高 FDV。

从整体看,所有平台的 14 日 FDV 中位数均为负值,说明当前周期中,大多数项目上线即为估值高点。
Binance Alpha: 均值约 +77%,中位数为 -7.6%。大多数项目回报有限,但少数项目极度爆发,显示出 Alpha 的高波动特征。虽然表现分化,但下行空间有限,对项目方有曝光,对投资人则有不对称的收益结构。
- Binance IDO 与 Futures: 中位数分别为 -16.3% 和 -21.7%,但均值为 +28% 和 -20%。说明大多数项目表现一般,但个别项目拉高了整体均值。Futures 表现较弱,主要由于多数项目在上线一段时间后才被添加,已过波动高峰。
- Binance Spot: 中位数 -29.7%,均值 -20%。作为最具声望的平台,Spot 上线反而可能成为早期投资人的退出点,导致价格承压。
- Bitget 与 Coinbase: 表现稳健,Bitget 中位数 -19.8%,均值约 21%;Coinbase 中位数 -7.7%,均值约 18%。两者在 Binance 上线后承接动能的能力较强。
- Bybit 与 Upbit: 表现中规中矩,Bybit 中位数 -22.1%,均值 8.9%;Upbit 中位数 -24.6%,均值 -5%。Upbit 上线通常较晚,项目热度已退,表现偏弱。
1.2 冲高幅度
指标定义: 本节衡量代币在上线后 14 天内的最高 FDV 与上线 FDV 的比例,用于评估各平台提供的短期向上潜力。
该指标帮助投资者判断代币上线初期的上涨潜力,同时也为项目方提供参考,了解市场需求、抛压强度及各平台在价格发现上的能力。

- Binance Alpha: 平均冲高幅度达 220%,中位数为 19.7%。部分项目仅有小幅波动,但也有不少项目在上线后迎来剧烈拉升,展现出 Alpha 较强的短期投机性及价格发现能力,是所有平台中上涨潜力最强的渠道。
- Binance IDO: 平均冲高约 75%,中位数为 11.5%。多数项目上线后有不错的炒作。
- Binance Futures: 平均冲高 27%,中位数仅 4.1%。有一定流量导入,对价格推动有一定作用,并且是不错的辅助曝光平台。
- Binance Spot: 表现不尽人意,平均冲高仅 15%,中位数 0.9%。因市场预期已兑现,项目上线即遭遇强抛压。
- Coinbase: 平均冲高 60%,中位数为 21.1%。在所有CEX中催化效果最强,主要受益于美国用户基础,但是上币频率低。
- Bybit / Bitget: 平均冲高 70–80%,中位数均在 20%左右,投机氛围浓厚,短线波动明显,算是非常不错的上币选择。
- Upbit: 平均冲高 35%,中位数为 0%。交易深度较弱,用户热情也相对有限。
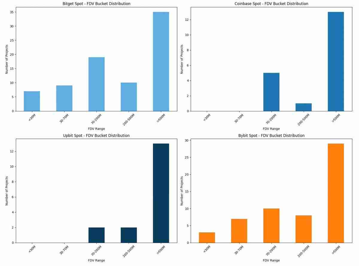
2. 上市时的 FDV 分布
本节从当前各平台上线项目的 FDV 分布出发,为项目方提供路径规划建议。不同估值阶段的项目适合不同的上线渠道,了解平台的 FDV 接受区间,有助于团队更精准地匹配上线节奏与平台策略。


- Binance Spot: 超过 60% 的项目 FDV 高于 5 亿美元,明显偏好大市值项目。平台对项目体量、投资机构背景有较高要求,更适合估值已具规模的成熟项目。
- Binance Alpha: 覆盖区间广,FDV 多集中在 2 亿美元以下。符合 Alpha “实验场”定位,适合估值偏早期但具备潜力的项目。
- Binance Futures: 超过一半的项目 FDV 超过 5 亿美元,但在 7000 万–5 亿美元区间也有一定分布。Futures 更像是对已上市项目的跟进渠道,适合估值已相对稳固的项目。
- Binance IDO: FDV 多集中在 7000 万–2 亿美元之间,表明其偏好中市值项目。适合在产品、社区和策略准备充分后进行的公开发行。
- Bitget: 覆盖从 3000 万以下到 5 亿以上的完整估值区间,集中分布在 7000 万–2 亿美元和 5 亿美元以上。说明平台接受度高,但更偏好已有热度或机构背书的中大盘项目。
- Bybit: 接近一半项目 FDV 高于 5 亿美元,且 7000 万–2 亿美元区间也有良好覆盖。具备承接短期热度和推动中市值项目的双重能力。
- Coinbase: 项目 FDV 几乎全部高于 5 亿美元,体现其合规门槛与高市值偏好,平台更适合已经成熟、合规性强的项目。
- Upbit: 上线项目全部高于 2 亿美元,且大多数超出 5 亿美元门槛。说明韩国市场对市值要求高,更适合作为后期补充渠道。
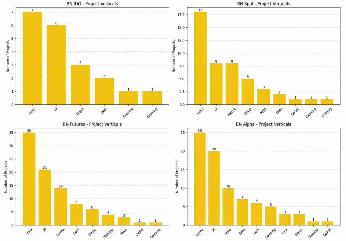
3. 平台的赛道偏好
项目方需要了解不同平台在赛道选择上的偏好差异。以下分析仅聚焦于 Binance 四大渠道在赛道维度的分布情况。


此外,不同渠道的上线项目总数也反映了上线难度。通常项目越少的平台,其筛选标准也越严格。
- Binance Spot: 上线项目约 50 个
- Binance Futures: 上线项目约 90 个
- Binance Alpha: 上线项目约 80 个
- Binance IDO: 上线项目约 20 个
Binance IDO:
- 偏好 Infra(7 项)和 AI(6 项)。
- 垂类分布集中,仅涵盖 6 个赛道。
- 明显聚焦技术底层和新兴应用场景,优先支持基础设施类和 AI 项目。
Binance Spot:
- 偏好 Infra(18 项)、Meme(8 项)和 AI(8 项)。
- 同时覆盖 DeFi、RWA、GameFi、Dapps 等多个小类。
- 垂类分布最均衡,但基础设施类项目仍占据主导地位。
Binance Futures:
- 是上线项目最多的平台,涵盖 35 个 Infra 和 21 个 AI 项目。
- Meme(14)和 DeFi(8)占比也不低。
- 赛道覆盖广,偏好市场活跃、具叙事驱动的项目。
Binance Alpha:
- 以 Meme(25)和 AI(20)为主,突出投机叙事和实验性主题。
- Infra 项目数量为 10 个,此外还包含 RWA(5)、DeFi(4)和 GameFi 等。
- Alpha 是偏好炒作型和概念型项目的试验场。
小结:
- 项目方 需根据各平台垂类偏好调整产品定位与市场叙事。
- AI 项目 是四大渠道均支持的热门赛道。
- Meme 项目 在 Alpha 占据主导地位,在 Spot 和 Futures 也有不错覆盖。
- Infra 项目 是除 Alpha 外最具包容性的核心赛道。
4. 上市路径分析
许多项目方都会问一个关键问题:Alpha 或 IDO 能否成为进入 Binance Spot 的跳板?我们来看数据说话:

- Alpha → Futures: 转化率为 37.8%(31/82),是一个较为有效的前置渠道。
- Alpha → Spot: 转化率仅 12.2%(10/82),整体较低。
- IDO → Futures: 转化率最高,达到 66.7%(14/21)。
- IDO → Spot: 转化率为 23.8%(5/21),优于 Alpha。
Alpha 更适合作为早期试水渠道,超过三成项目成功进入 Futures,但要晋升 Spot,依然需要较强的基本面与市场表现。相比之下,IDO 项目在品牌认知和社区基础上更扎实,具备更高的晋升潜力。项目方应将 Alpha 和 IDO 视为进入 Binance 体系的起点,而非终点。
4.1 项目表现门槛
那些成功从 Alpha / IDO 晋升至 Binance Spot 的项目,在早期阶段表现如何?有没有可借鉴的规律?

- Alpha → Spot: 项目在 Alpha 阶段的 14 天冲高中位数仅为 5.2%,远低于其他路径的 30–50%,但其均值高达 113.5%,为所有路径中最高。说明项目表现分化极大,部分项目具备极强爆发力,但大多数涨幅有限。Binance Spot 上线并不完全依赖市场炒作,更看重产品质量与用户数据等硬指标。
- Alpha → Futures 与两个 IDO 路径(→ Spot 和 → Futures)在 14 天冲高中位数都较为集中,约为 30–45%,均值则介于 51%–105% 之间,表现稳定。
整体来看,若项目在前置平台上线后能在两周内实现 约 40–50% 的 FDV 冲高,就更有可能获得 Futures 或 Spot 的进一步青睐。这可以作为项目方评估后续上市潜力的参考标准。
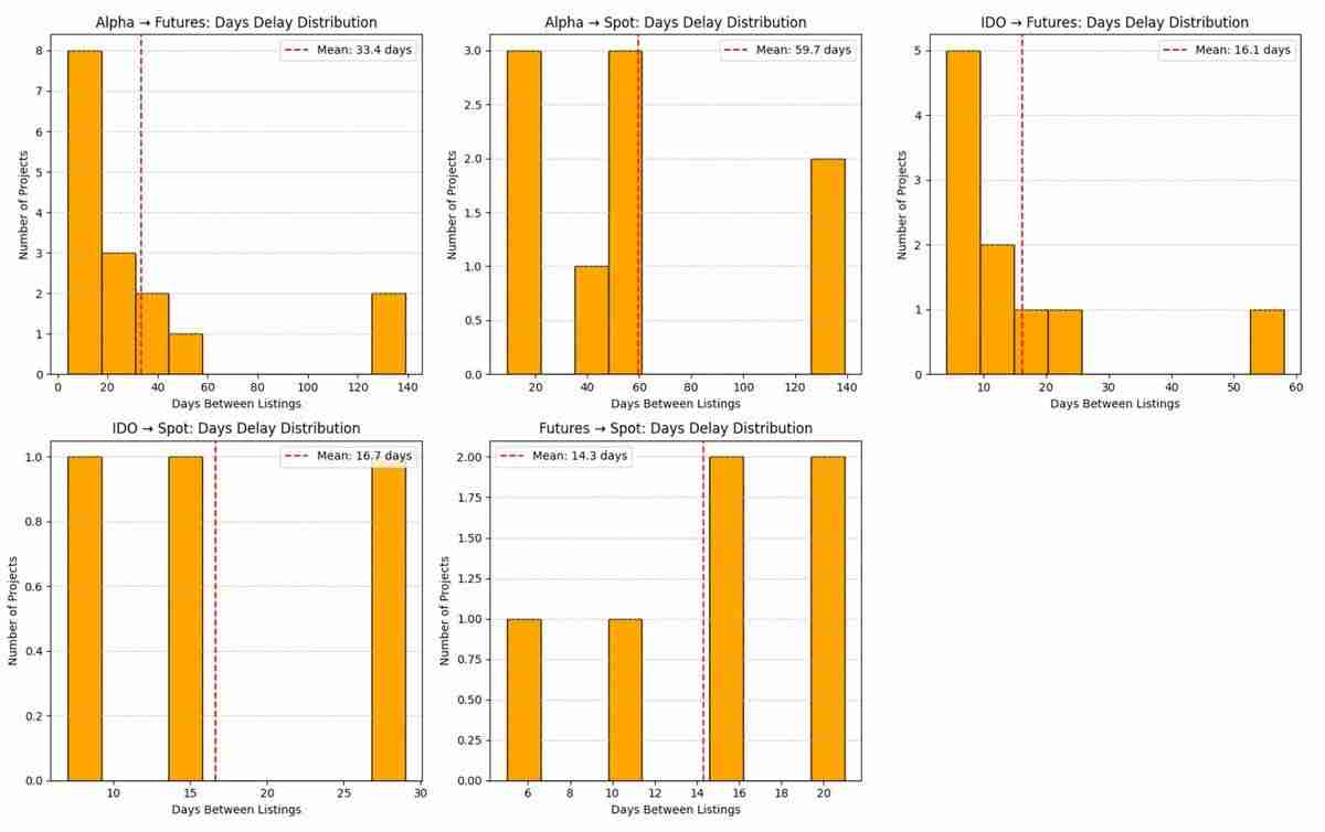
4.2 等待时长
项目方还需设定合理预期:从 Alpha 或 IDO 到 Binance Spot 上市,通常需要多长时间?若缺乏清晰的时间规划,可能导致错失市场窗口或失去社区关注。

- Alpha → Spot: 平均等待约 60 天,部分项目甚至超过 120 天。整体分布较广,说明该路径不具备可预测性,更适合作为探索阶段的平台,而非直接通向 Spot 的跳板。
- Alpha → Futures: 平均仅需 30 天,节奏明显快于 Spot,具备更强的市场响应效率。
- IDO → Spot 与 IDO → Futures: 平均等待时间均为 17 天,大多数项目可在上线后 1 个月内完成。得益于其强社区动员和统一节奏安排,IDO 项目在后续上币路径上节奏相对可控。
- Futures → Spot: 为所有路径中最快,平均仅 14 天,且时间分布高度集中。
若团队目标是快速实现 Binance Spot 上市,Futures 是当前观察到最具确定性的中转路径。
5. 替代路径:进军其他CEX
并非所有项目都将 Binance Spot 作为唯一目标。越来越多的项目在 Alpha 或 IDO 后转向 Bitget、Bybit、Coinbase、Upbit 等主流平台。部分平台反应迅速、流动性可观,成为实际替代选项。
5.1 上市数量
项目在 Alpha 或 IDO 后,究竟有多少顺利进入其他主流 CEX?

- Alpha → Bitget: 上线率为 34.1%(28/82),遥遥领先。Bybit 为 17.1%(14/82),Coinbase 为 6%(6/82),Upbit 仅上线 2 个相关项目。
- Bitget 对 Alpha 项目接受度最高,可能由于其对新兴项目的开放态度以及较灵活的上线门槛。Bybit 也对 Alpha 项目展现出一定兴趣。
- IDO → Bitget 和 Bybit: 上线率分别为 61.9%(13/21)和 47.6%(10/21),Upbit 为 9%,Coinbase 无记录。
相比 Alpha,IDO 项目在其他平台更具吸引力,可能与其更强的品牌建设和社区势能有关。Bitget 和 Bybit 对 IDO 项目的承接能力也更强,是值得项目方重点考虑的延伸路径。
5.2 上市等待时间
项目从 Alpha 或 IDO 上线 Binance 后,通常需要多长时间才能在主流 CEX 跟进上线?

Bitget: Alpha 项目平均约 14 天,IDO 项目更快,仅 13 天。不少 IDO 项目在 TGE 当天同步上线。
Bybit: Alpha 项目约 13 天,IDO 同样在 TGE 当天上线。
Coinbase: 仅上线 Alpha 项目,平均约 29 天。
Upbit: 仅上线 IDO 项目,平均约 31 天。
Bitget 和 Bybit 节奏较快,适合快节奏上线;Coinbase 和 Upbit 节奏偏慢,需配合本地合规和社区节奏。
5.3 其他CEX的价格发现能力
下图为 Alpha 和 IDO 项目在各CEX上线后的 14 天平均涨幅:

- Bitget: Alpha 项目回报 41.8%,IDO 项目 29.2%,表现最优。
- Bybit: Alpha 项目为 -2.3%,IDO 项目为 25.2%,更偏好 IDO。
- Coinbase 和 Upbit: 样本项目分别为 6 和 4 个,统计偏差较大,不具代表性。
Bitget 和 Bybit 在承接 Binance 项目方面表现稳定,是项目方规划 TGE 路线时的重要考虑平台。
结论
整体而言,Binance Alpha 和 IDO 是 Binance 内部不错的前置平台:
- Alpha 更像是实验场,进入门槛低,适合早期项目曝光;
- IDO 则具有更强的品牌背书,Futures 和 Spot 的转化率也更高。
但 Spot 转化仍较稀缺:Alpha 项目最终晋升比例仅约 12%,IDO 也仅为 24%。项目方需做好节奏管理:
- Alpha → Spot 平均等待约 60 天,
- IDO → Spot 为 17 天,
- Futures → Spot 最快,仅需 14 天。
此外,不同平台对项目 FDV 的偏好也释放出关键信号:
- Spot 偏向于估值高于 $500M 的大盘项目;
- Alpha 主要接纳估值低于 $200M 的早期项目;
- IDO 多集中在 $70M–$200M 区间,适合有明确准备的中型项目。
项目方应根据自身估值阶段选择合适渠道,以匹配流动性预期与市场节奏。
以上就是Binance上币路径:Alpha、IDO、Futures、Spot以及后续CEX表现全拆解的详细内容,更多请关注币圈财经笔记其它相关文章!

币安交易所
全球第一大所,币圈用户必备,新用户可得注册奖励最高可达500USD
欧易交易所
全球前三大交易所之一,新用户注册可拆数字盲盒,100%可以获得数字货币
更多交易所入口
一站式注册各大交易所、点击进入加密世界、永不失联,币安Binance/欧易OKX/GATE.IO芝麻开门/Bitget/抹茶MEXC/火币Huobi